
https://www.acmicpc.net/problem/25577
25577번: 열 정렬정렬 정
첫 번째 줄에 배열의 크기 $N(4 ≤ N ≤ 100\,000)$이 주어진다. 그다음 줄에 배열의 원소 $A_1, A_2, \cdots, A_n (-10^9 ≤ A_i ≤ 10^9, i \neq j $ 이면 $ A_i \neq A_j )$ 이 주어진다. 배열의 원소는 모두 정수이다
www.acmicpc.net
import java.io.BufferedReader;
import java.io.InputStreamReader;
import java.util.ArrayList;
import java.util.Collections;
import java.util.HashMap;
import java.util.StringTokenizer;
public class Main {
public static void main(String[] args) throws Exception {
BufferedReader br = new BufferedReader(new InputStreamReader(System.in));
StringBuilder sb = new StringBuilder();
int N = Integer.parseInt(br.readLine());
ArrayList<Integer> list = new ArrayList<>();
int[] arr = new int[N];
StringTokenizer st = new StringTokenizer(br.readLine(), " ");
HashMap<Integer, Integer> hashmap = new HashMap<>();
for(int i = 0; i < N; i++) {
arr[i] = Integer.parseInt(st.nextToken());
hashmap.put(arr[i], i);
list.add(arr[i]);
}
Collections.sort(list);
int[] comp = new int[N];
int ind = 1, ans = 0;
for(int i = 0; i < N; i++) {
if(comp[i] != 0) continue;
int v = i;
while(comp[v] == 0) {
comp[v] = ind;
v = hashmap.get(list.get(v));
ans++;
}
ind++;
ans--;
}
System.out.println(ans);
}
}
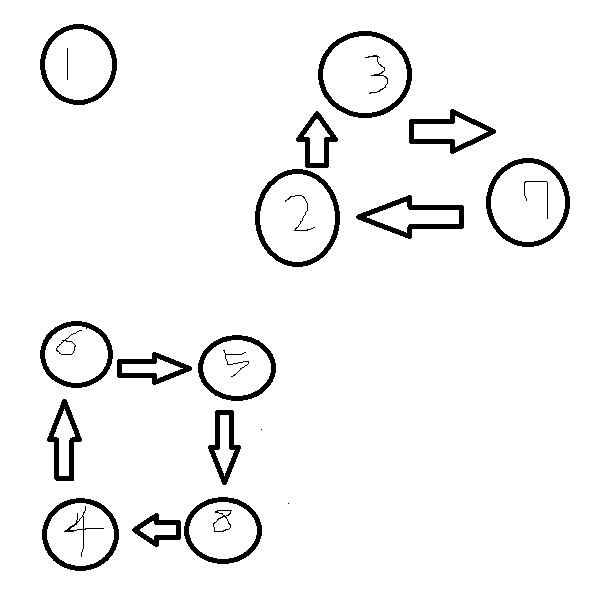
※ .1 3 7 6 5 8 2 4 일 때

※. 연산횟수는 그래프의 깊이만큼 이루어진다.
(원소가 자기위치에 있다면 0, 두 개의 원소가 바뀌어있으면 0->1, 세 개의 원소가 바뀌어 있으면 2)
※. 백준의 정답이 s라면 코드포스의 정답은 반드시 s+1, s-1이다.
(2, 1 ,5 ,3 ,4 와 같이 2,1이 이미 반전되어 있는 경우 s-1)
(이 경우 a[i]와 a[i+1]의 그래프 종류가 같다면 위와 같음)
(3,4,1,2 와 같이 작업을 하면 전부 정렬되어 있어 하나를 반전시켜줘야하는 경우 s+1)
(위의 s-1의 경우가 아니라면 모두 이 경우다. 백준에서 문제푼 것처럼 s는 사이클로 정렬한 최소횟수이다. 정렬된 배열 중 임의의 a[i]를 a[i+1]과 바꾸어 주어야 함으로 s+1)
import java.io.BufferedReader;
import java.io.InputStreamReader;
import java.util.ArrayList;
import java.util.Arrays;
import java.util.Collections;
import java.util.LinkedList;
import java.util.StringTokenizer;
public class Main {
public static void main(String[] args) throws Exception {
BufferedReader br = new BufferedReader(new InputStreamReader(System.in));
StringBuilder sb = new StringBuilder();
int T = Integer.parseInt(br.readLine());
while(T --> 0) {
long ans = 0;
int n = Integer.parseInt(br.readLine());
int[] arr = new int[n];
StringTokenizer st = new StringTokenizer(br.readLine());
for(int i = 0; i < n; i++) {
arr[i] = Integer.parseInt(st.nextToken()) - 1;
}
int ind = 1;
int[] comp = new int[n];
for(int i = 0; i < n; i++) {
if(comp[i] != 0) continue;
int v = i;
while(comp[v] == 0) {
comp[v] = ind;
v = arr[v];
ans++;
}
ind++; ans--;
}
boolean answer = false;
for(int i = 0; i < n - 1; i++) {
if(comp[i] == comp[i+1]) {
answer = true;
sb.append(ans-1).append('\n');
break;
}
}
if(!answer)
sb.append(ans+1).append('\n');
}
System.out.println(sb);
}
}'코드포스' 카테고리의 다른 글
| [Codeforces Round 849 (Div. 4)] D. Distinct Split (0) | 2023.03.13 |
|---|---|
| [Hello 2023] D. Boris and His Amazing Haircut (0) | 2023.01.19 |
| [Codeforces Round #842 (Div. 2)] B. Quick Sort (0) | 2023.01.06 |
| [Hello 2023] C. Least Prefix Sum (0) | 2023.01.05 |
| [Hello 2023] B. MKnez's ConstructiveForces Task (0) | 2023.01.04 |